How to Prevent Interference When Strong Magnetic Fields Exist Around Transformers?
As a core component of power systems, transformers generate strong magnetic fields during operation, which can potentially interfere with nearby electronic equipment, communication systems, and even human health. This article provides a detailed analysis of the principles behind transformer magnetic field interference and offers practical solutions to help effectively reduce or eliminate these interference issues.
Content
1. Principles and Effects of Transformer Magnetic Field Interference
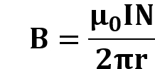
When a transformer operates, it creates a changing magnetic field in the surrounding space due to the principle of electromagnetic induction. According to Maxwell's equations, a changing current produces a changing magnetic field, and this changing magnetic field, in turn, induces an electromotive force. This is the fundamental cause of transformer magnetic field interference. Magnetic field strength typically decays rapidly with increasing distance, following the inverse square law.
Where
B is the magnetic flux density (Tesla)
μ₀ is the permeability of free space (4π×10⁻⁷ T·m/A)
I is the current (Ampere)
N is the number of winding turns
r is the distance from the transformer (meters)
The main manifestations of interference include:
•Interference with Electronic Devices:
Image distortion on CRT monitors, inaccurate readings from precision measuring instruments, humming noise in audio equipment.
•Impact on Communication Systems:
Radio signal attenuation, increased error rates in network data transmission.
•Potential Effects on Living Organisms:
Possible uncertain health effects from long-term exposure to strong magnetic fields.
The International Commission on Non-Ionizing Radiation Protection (ICNIRP) has established guidelines limiting public exposure to time-varying electromagnetic fields. The reference levels for 50Hz power frequency magnetic fields are 200µT (short-term exposure) and 40µT (long-term exposure).
2. Six Effective Measures to Reduce Transformer Magnetic Field Interference
● Optimize Transformer Location and Layout Planning
Choosing a rational installation location is the most cost-effective method to reduce magnetic field interference. Since magnetic field strength decays rapidly with distance, increase the distance between the transformer and sensitive areas as much as possible where conditions allow.
Implementation Points:
•Maintain a Minimum Safe Distance:
According to IEC 62110 standard, it is recommended to keep a distance of at least 3-5 meters between the transformer and areas frequently occupied by people.
•Consider Magnetic Field Directionality:
The magnetic field distribution around a transformer is not uniform in all directions; perform measurements to identify the direction with the weakest field for installation.
•Location Selection in Multi-story Buildings:
In multi-story buildings, transformers should be installed on the lowest level, preferably in the basement, avoiding placement directly below office areas.
Distance from Transformer Enclosure (m) | Typical Magnetic Flux Density (µT) |
0.5 | 100-500 |
1.0 | 30-150 |
2.0 | 7-40 |
3.0 | 3-20 |
5.0 | 1-8 |
Table 1: Typical magnetic flux density values at different distances
● Use Magnetic Shielding Materials and Techniques
Magnetic shielding is an effective method to confine magnetic fields within a specific area or direct them away from sensitive zones using high-permeability materials. Common shielding materials include electrical steel, silicon steel sheets, permalloy, and nanocrystalline alloys.
Shielding Principle:
Magnetic shielding materials provide a low-reluctance path, concentrating magnetic field lines within the shield itself, thereby reducing the field strength in the external space.
Where:
lS is the shielding effectiveness coefficient (higher values indicate better shielding performance)
lμ is the relative permeability of the shielding material
lt is the thickness of the shielding layer
lD is the characteristic dimension of the shield body
Implementation Methods:
•Transformer Body Shielding:
Add layers of silicon steel sheets or permalloy inside the transformer casing.
•Room Shielding:
Use steel plates or special coatings on the walls of the room housing the transformer.
•Local Shielding:
Individually shield specific sensitive equipment.
● Choose Transformers with Low-Stray-Field Design
Modern transformer technology has developed various low-stray-field designs that significantly reduce leakage flux:
•Three-Phase Five-Limb Core Design:
Compared to traditional three-phase three-limb designs, this can reduce the external magnetic field by approximately 30-50%.
•Segmented Winding Arrangement:
Optimizes winding layout so that the magnetic fields of different phases cancel each other out.
•Foil Winding Technology:
Uses wide copper foil instead of traditional cables, resulting in more uniform current distribution and reduced edge effects.
•Amorphous Alloy Core Transformers:
Feature low hysteresis loss and less leakage flux, but come at a higher cost.
According to IEEE C57.110 standard, the external magnetic field strength of low-stray-field transformers can be 40-70% lower than conventional transformers.
● Proper Grounding System Planning
A good grounding system not only ensures safety but also effectively controls magnetic field interference:
•Single-Point Grounding Principle:
Avoids creating ground loops, preventing induced currents from circulating in the grounding system.
•Equipotential Bonding:
Connects the transformer casing, shielding structures shielding structures, building metal components, etc., using equipotential bonding conductors.
•Reduce Ground Impedance:
Use techniques like deep well grounding or resistance-reducing agents to achieve a ground resistance of less than 4Ω (as required by IEC 60364).
Technical Detail:
When potential differences exist between different grounding points, ground loop currents can form. These currents themselves generate interfering magnetic fields. Single-point grounding and equipotential bonding eliminate this potential interference source.
● Use Phase Compensation Techniques
For three-phase transformer systems, unbalanced phase currents produce stronger external magnetic fields. This can be improved through the following measures:
•Load Balancing:
Distribute single-phase loads as evenly as possible across the three phases; imbalance should be <5%.
•Reactive Power Compensation:
Install automatic power factor correction devices to maintain the power factor between 0.9 and 0.95.
•Harmonic Filtering:
Use active or passive filters to reduce harmonic currents (especially the 3rd, 5th, and 7th harmonics).
•Technical Principle:
In a balanced three-phase system, the magnetic fields of individual phases cancel each other out at a distance. When imbalance or harmonics are present, this cancellation effect weakens, leading to an increased net magnetic field. Power factor correction capacitors provide reactive current, reducing the magnetizing current required by the transformer, thereby lowering magnetic field strength.
● Regular Maintenance and Monitoring
Continuous monitoring and maintenance are key to ensuring long-term low-interference operation:
•Regularly Measure Surrounding Magnetic Fields:
Use a gaussmeter to measure magnetic field strength at key points quarterly.
•Check Tightness of Connections:
Loose bolted connections can increase magnetic reluctance, leading to higher leakage flux.
•Insulating Oil Testing:
Deteriorated insulating oil leads to higher operating temperatures, indirectly affecting magnetic field distribution.
•Infrared Thermography Inspection:
Detects local hot spots that may indicate areas of abnormal magnetic field concentration.
Monitoring Standards Reference:
•IEEE 644: Standard procedures for measuring power frequency electric and magnetic fields.
•IEC 61786: Guide for measuring human exposure to DC, AC electric, and magnetic fields.
3. Additional Solutions for Special Situations
In extremely sensitive environments, more specialized measures might be necessary:
● Active Cancellation Systems
The working principle involves placing a series of detection coils and compensation coils around the transformer. The detection coils monitor real-time magnetic field changes, the control system calculates the required counteracting field, and the compensation coils generate a reverse magnetic field to achieve cancellation. Advanced systems can achieve over 90% cancellation effectiveness.
● Frequency Conversion Technology
Convert the 50/60Hz power frequency to a higher frequency (e.g., 400Hz) using power electronic devices. Since magnetic field decay rate is proportional to frequency, higher-frequency fields attenuate faster in space, resulting in a smaller interference range. However, this requires specially designed transformers and load equipment.
● Superconducting Transformer Technology
Utilizes the zero-resistance property of superconducting materials below their critical temperature, theoretically eliminating iron and copper losses entirely, achieving extremely high efficiency and very low leakage flux. Currently, this technology is still largely experimental and comes with very high costs.
4.International Standards and Compliance Recommendations
When designing and implementing transformer magnetic field interference control plans, refer to the following international standards:
● ICNIRP Guidelines: International guidelines limiting public and occupational exposure to electromagnetic fields.
● IEEE Std C57.110: Guide for evaluating transformer and reactor magnetic fields.
● IEC 61000 Series: Electromagnetic Compatibility (EMC) standards.
● EN 50522:2010: European standard concerning human exposure to electromagnetic fields.
In the United States, OSHA requires that power frequency magnetic field strength in workplaces not exceed 10G (1mT); in the EU, according to EU Directive 2013/35/EU, the exposure limit for an 8-hour workday is 1mT.
Frequently Asked Questions (FAQ)
•Q: What is a safe distance for household appliances from a transformer?
•A: According to WHO recommendations, maintaining a distance of 1.5-2 meters between conventional household appliances and the transformer generally meets safety requirements. For particularly sensitive medical equipment, consult the device manufacturer.
•Q: How to determine if environmental magnetic fields exceed standards?
•A: Use a calibrated gaussmeter for measurement and compare the results against ICNIRP or local standard limits. Alternatively, hire a professional EMC testing organization for assessment.
•Q: Can plant growth be affected by transformer magnetic fields?
•A: Studies suggest that plants chronically exposed to magnetic fields >100µT may exhibit stunted growth. It is recommended to keep orchards or greenhouses at least 10 meters away from transformers.
Conclusion
Controlling transformer magnetic field interference is a systematic project requiring comprehensive consideration of installation planning, equipment selection, shielding techniques, operation, and maintenance. Using the measures described in this article, most application scenarios can reduce magnetic field interference to acceptable levels. For particularly sensitive environments, consulting a professional EMC engineer for customized solutions customized solutions is advisable. With the continuous development of new materials and technologies, transformer magnetic field interference issues will be better controlled in the future.
Remember, before implementing any interference control measures, conduct detailed magnetic field mapping and analysis. Targeted solutions are the most cost-effective. Regular monitoring and maintenance are crucial for ensuring long-term effectiveness, while staying updated on the latest developments in international standards ensures compliance.
Contact Us
LuShan, est.1975, is a Chinese professional manufacturer specializing in power transformers and reactors for50+ years. Leading products are single-phase transformer, three-phase isolation transformers,electrical transformer,distribution transformer, step down and step up transformer, low voltage transformer, high voltage transformer, control transformer, toroidal transformer, R-core transformer;DC inductors, AC reactors, filtering reactor, line and load reactor, chokes, filtering reactor, and intermediate,high-frequency products.
Our power transformers and reactors are widely used in 10 application areas: rapid transit, construction machinery, renewable energy, intelligent manufacturing, medical equipment, coal mine explosion prevention , excitation system, vacuum sintering(furnace), central air conditioning.
Know more about power transformer and reactor :www.lstransformer.com.
If you would like to obtain customized solutions for transformers or reactors, please contact us.
WhatsApp:+86 13787095096
Email:marketing@hnlsdz.com

EN
FR
DE
ES

