How to Determine the Safe Threshold for Current Density in Transformer Windings?
How to Determine the Safe Threshold for Current Density in Transformer Windings?
Transformers are indispensable core components in power systems, and the safe threshold for current density in their windings directly impacts the equipment's reliability, efficiency, and lifespan. This article provides a detailed analysis of the key factors influencing current density in transformer windings, international standard reference values, calculation methods, and optimization strategies to help you fully understand this critical parameter.
Content
1. Definition and Importance of Current Density
Current density refers to the amount of electric current passing through a unit cross-sectional area of a conductor, typically denoted as J and measured in A/mm². In transformer design, current density is a core parameter that directly affects the following key performance indicators:
●Temperature Rise Effect: According to Joule's Law (Q = I²Rt), electric current generates heat as it passes through a conductor. When current density is too high, resistive losses (copper losses) in the windings increase significantly, leading to rapid temperature rise. Empirical data shows that for every 1 A/mm² increase in current density, winding temperature rise may increase by 8–12°C.
●Insulation Aging: The lifespan of transformer insulation materials follows the "10-degree rule"—for every 10°C increase in temperature, insulation aging accelerates by a factor of two. Prolonged excessive current density accelerates insulation degradation, shortening the transformer's service life.
●Mechanical Strength: High currents generate significant electromagnetic forces, especially during short-circuit conditions. Appropriate current density ensures the windings have sufficient mechanical strength to withstand these electromagnetic stresses.
●Efficiency Optimization: Current density is directly related to losses. Selecting an optimal current density balances manufacturing costs and operational efficiency.
The International Electrotechnical Commission (IEC) and IEEE standards emphasize that current density selection must consider factors such as temperature rise limits, insulation class, cooling methods, and expected lifespan, rather than solely pursuing high-density designs.
2. Key Factors Influencing the Safe Threshold
The safe threshold for current density in transformer windings is not a fixed value but a dynamic parameter influenced by multiple factors. Below are the primary influencing factors and their mechanisms:
● Insulation Material Class
The thermal class of insulation materials determines the maximum allowable operating temperature of the transformer, thereby setting the upper limit for current density. Common insulation classes and their corresponding temperature limits are listed below:
Insulation Class | Maximum Allowable Temperature (°C) | Typical Current Density Range (A/mm²) |
A (105) | 105 | 2.0–3.2 |
E (120) | 120 | 2.3–3.5 |
B (130) | 130 | 2.5–3.8 |
F (155) | 155 | 2.8–4.2 |
H (180) | 180 | 3.2–4.8 |
Higher insulation classes allow for greater current density but come at a significantly higher cost. Practical selection requires balancing economic and performance requirements.
● Cooling Method
Cooling efficiency directly affects heat dissipation rates and is a critical factor in determining current density thresholds:
(1)Natural Air Cooling (AN):Relies on natural air convection, with limited heat dissipation. Current density is typically limited to 2.0–3.0 A/mm².
(2)Forced Air Cooling (AF):Uses fans for forced convection, improving heat dissipation by 30–50%. Current density can reach 3.0–4.0 A/mm².
(3)Oil-Immersed Natural Cooling (ONAN): Transformer oil has a higher heat capacity than air, allowing current densities of 3.5–4.5 A/mm².
(4)Oil-Immersed Forced Air Cooling (OFAF): Combines oil cooling and forced air cooling, enabling current densities of 4.0–5.5 A/mm².
(5)Water Cooling:The most efficient cooling method, allowing current densities above 6.0 A/mm².
● Operating Cycle and Load Characteristics
Load characteristics significantly influence current density selection:
(1)Continuous Rated Load: Requires conservative current density design.
(2)Intermittent Load:Allows for higher current density based on load cycles.
(3)Short-Term Overload: Must account for short-term overload capacity, typically permitting current density to exceed the rated value by 20–30% for short durations (e.g., 30 minutes).
3. International Standards and Calculation Methods
● Key International Standards
Different standards provide varying guidelines for current density:
(1)IEC 60076 Series: Recommends current density for oil-immersed transformers generally not exceeding 4.8 A/mm².
(2)IEEE C57.12.00: Specifies temperature rise limits, indirectly constraining current density.
(3)GB 1094:Aligns with IEC standards but imposes stricter limits for dry-type transformers.
In practice, current density calculations require detailed thermal evaluations using the following formulas.
● Current Density Calculation Formula
The basic current density formula is:
Where:
J: Current density (A/mm²)
I: Winding current (A)
A: Conductor cross-sectional area (mm²)
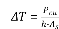
A more precise thermal evaluation requires balancing losses and heat dissipation:

Where:
P_cu: Copper losses (W)
ρ: Conductor resistivity (Ω·mm²/m)
l: Conductor length (m)
ΔT: Temperature rise (°C)
h: Heat transfer coefficient (W/m²°C)
A_s: Heat dissipation surface area (m²)
By solving these equations, a quantitative relationship between current density and temperature rise can be established to determine the safe threshold.
4. Optimization Strategies in Engineering Practice
● Conductor Material Selection
Copper and aluminum are the two primary materials for transformer windings, with the following characteristics:
Parameter | Copper Conductor | Aluminum Conductor |
Conductivity | 58.5 MS/m | 36.9 MS/m |
Density | 8.96 g/cm³ | 2.70 g/cm³ |
Cost | High | Low |
Allowable Current Density | 3.0–4.5 A/mm² | 2.0–3.0 A/mm² |
Although copper is more expensive, its superior conductivity allows for higher current density, making it ideal for space-constrained applications. Aluminum conductors require larger cross-sections for equivalent current capacity but offer weight and cost advantages.
● Advanced Cooling Technologies
Modern transformer designs employ innovative cooling technologies to increase current density thresholds:
(1)Axial Oil Duct Design: Incorporates vertical oil channels within windings, improving oil flow speed and increasing heat dissipation by 30–40%.
(2)Directed Cooling: Uses baffles to direct oil flow to hotspot areas, reducing local temperature rise by 15–20°C.
(3)Spray Cooling: Installs oil spray devices at winding tops, particularly effective for large-capacity transformers.
(4)Evaporative Cooling: Utilizes specialized cooling media and phase-change latent heat to significantly enhance heat dissipation.
These technologies can increase current density by 15–25% compared to traditional methods while ensuring reliability.
In Summary
Determining the safe threshold for current density in transformer windings is a multi-factor optimization problem requiring consideration of insulation class, cooling methods, load characteristics, and economic factors. For practical engineering applications, we recommend:
(1)For standard applications, refer to IEC or IEEE recommended ranges.
(2)For specialized applications, conduct detailed thermal and electromagnetic analyses.
(3)Regularly monitor operating temperatures and insulation conditions to detect anomalies early.
(4)Consider lifecycle costs rather than focusing solely on initial investments.
By scientifically selecting current density, transformers can achieve the optimal balance between reliability, efficiency, and cost-effectiveness. For precise design guidance, consult professional transformer design engineers or refer to the latest international standards.
Contact Us
LuShan, est.1975, is a Chinese professional manufacturer specializing in power transformers and reactors for50+ years. Leading products are single-phase transformer, three-phase isolation transformers,electrical transformer,distribution transformer, step down and step up transformer, low voltage transformer, high voltage transformer, control transformer, toroidal transformer, R-core transformer;DC inductors, AC reactors, filtering reactor, line and load reactor, chokes, filtering reactor, and intermediate,high-frequency products.
Our power transformers and reactors are widely used in 10 application areas: rapid transit, construction machinery, renewable energy, intelligent manufacturing, medical equipment, coal mine explosion prevention , excitation system, vacuum sintering(furnace), central air conditioning.
Know more about power transformer and reactor :www.lstransformer.com.
If you would like to obtain customized solutions for transformers or reactors, please contact us.
WhatsApp:+86 13787095096
Email:marketing@hnlsdz.com

EN
FR
DE
ES

